Khoa Kỹ Thuật Và Công Nghệ – Đại Học Huế
-
THÔNG TIN TUYỂN SINH ĐẠI HỌC CHÍNH QUY NĂM 2025
*******
1. THÔNG TIN CHUNG
– Tên cơ sở đào tạo: Khoa Kỹ thuật và Công nghệ – Đại học Huế (tên viết tắt: HUET)
– Mã cơ sở đào tạo: DHE
– Địa chỉ: 01 Điện Biên Phủ, Vĩnh Ninh, Quận Thuận Hóa, Thành phố Huế
– Cổng thông tin điện tử: huet.hueuni.edu.vn
(Trang thông tin tuyển sinh: https://www.facebook.com/et.hueuni)
– Điện thoại liên hệ: 0234.3845799
– Email: huet@hueuni.edu.vn
2. PHẠM VI TUYỂN SINH: tuyển sinh trong phạm vi cả nước.
3. PHƯƠNG THỨC TUYỂN SINH
– Phương thức 1 (301): Xét tuyển thẳng theo quy định của Quy chế tuyển sinh (Điều 8)
– Phương thức 2 (303): Xét tuyển thẳng với những thí sinh đủ 1 trong các điều kiện sau:

– Phương thức 3 (200): Xét tuyển dựa vào kết quả học tập cấp trung học phổ thông (điểm học bạ)
Yêu cầu: Tổng điểm trung bình 4 học kỳ (HK 1 và 2 của lớp 11; HK1 và 2 của lớp 12) của 3 môn theo tổ hợp môn đăng ký >=18 (Không tính điểm ưu tiên)
ĐXT = ∑ Điểm trung bình 4 học kỳ của 3 môn + ĐƯT
Trong đó, ĐXT: Điểm xét tuyển; ĐƯT: Điểm ưu tiên theo quy chế tuyển sinh hiện hành; Điểm trung bình 3 học kỳ các môn trong tổ hợp môn xét tuyển là điểm trung bình chung mỗi môn học (làm tròn đến 1 chữ số thập phân) 4 học kỳ (HK 1 và 2 của lớp 11 và lớp 12);
Nguyên tắc xét tuyển: Xét tuyển theo thứ tự ưu tiên ĐXT từ cao xuống thấp và xét đến khi đủ chỉ tiêu.
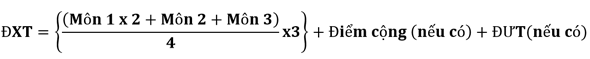
– Phương thức 4 (100): Xét tuyển dựa vào kết quả của kỳ thi tốt nghiệp trung học phổ thông (điểm thi TN THPT) năm 2025
ĐXT = (Điểm Môn 1 + Điểm Môn 2 + Điểm Môn 3) + ĐƯT
Trong đó, ĐXT: Điểm xét tuyển; ĐƯT: Điểm ưu tiên theo quy chế tuyển sinh hiện hành.
Nguyên tắc xét tuyển: Xét tuyển theo thứ tự ưu tiên ĐXT từ cao xuống thấp và xét đến khi đủ chỉ tiêu.
4. CHỈ TIÊU TUYỂN SINH VÀ TỔ HỢP XÉT TUYỂN NĂM 2025
5. Thời gian xét tuyển
Các mốc thời gian quan trọng trong xét tuyển Đại học 2025 và Khoa Kỹ Thuật và Công Nghệ bằng phương thức tuyển thẳng và phương thức xét học bạ THPT như sau:
- Đăng ký xét tuyển: Dự kiến tháng 7/2025
- Công bố kết quả xét tuyển: Dự kiến tháng 8/2025
6. Các bước đăng ký xét tuyển:
– Sẽ được cập nhật theo Hướng dẫn của Bộ GD&ĐT
7. Lệ phí xét tuyển
Theo quy định của Bộ Giáo dục và đào tạo
Nếu cần tư vấn thông tin tuyển sinh, Quý phụ huynh và thí sinh có thể liên hệ Khoa Kỹ Thuật va Công nghệ theo một trong các kênh thông tin dưới đây:
– Tư vấn trực tiếp: Văn phòng tuyển sinh, phòng II.14, tầng 2, 01 Điện Biên Phủ, TP Huế
– Tư vấn trực tuyến: https://www.facebook.com/et.hueuni
– Điện thoại: 0234 3845 799
– Hotline: 0234 3845 799
– Email: huet@hueuni.edu.vn
Khoa Kỹ thuật và Công nghệ – Đại học Huế sẽ công bố Đề án tuyển sinh trình độ đại học năm 2025 sau khi Bộ Giáo dục và Đào tạo ban hành Thông tư sửa đổi, bổ sung một số điều của Quy chế tuyển sinh trình độ đại học (Áp dụng từ năm 2025)./.